
Jakie jest klimat w Azji? Odkryj zaskakujące różnice i strefy
Poznaj, jaki jest klimat w Azji i jakie zaskakujące różnice oraz strefy klimatyczne wpływają na życie mieszkańców tego różnorodnego kontynentu.
W tej kategorii poświęconej klimatowi znajdziesz ciekawe artykuły i analizy dotyczące zmian klimatycznych oraz ich wpływu na nasze życie i środowisko. Poruszamy tematy związane z edukacją ekologiczną, zrównoważonym rozwojem oraz innowacjami, które mogą pomóc w walce z kryzysem klimatycznym. Nasze teksty są napisane w przystępny sposób, aby każdy mógł zrozumieć złożoność zagadnień związanych z klimatem. Zachęcamy do zgłębiania wiedzy, dzielenia się swoimi przemyśleniami oraz aktywnego uczestnictwa w dyskusjach. Dołącz do nas i odkryj, jak każdy z nas może przyczynić się do ochrony naszej planety.

Poznaj, jaki jest klimat w Azji i jakie zaskakujące różnice oraz strefy klimatyczne wpływają na życie mieszkańców tego różnorodnego kontynentu.

Poznaj kluczowe czynniki, które wpływają na klimat. Dowiedz się, co ma wpływ na klimat i jak zmiany klimatyczne kształtują naszą przyszłość.

Poznaj, jaki klimat mamy w Polsce! Zaskakujące fakty o porach roku, temperaturach i opadach, które wpłyną na Twoje plany.

Poznaj, jak nazywa się klimat Polski oraz jego unikalne cechy, takie jak temperatury, opady i wpływ ukształtowania terenu na warunki pogodowe.

Poznaj kluczowe czynniki, które kształtują klimat w Europie, oraz ich wpływ na pogodę, ekosystemy i życie mieszkańców. Zrozum, jak geografia wpływa na klimat.

Poznaj, jaki klimat panuje w Estonii. Zaskakujące różnice sezonowe, średnie temperatury i warunki pogodowe czekają na Ciebie w tym fascynującym kraju.

Poznaj, jaki klimat panuje w Danii, jego cechy oraz jak wpływają na codzienne życie i turystykę. Sprawdź, co warto wiedzieć przed wizytą!

Dowiedz się, jak zmienia się klimat i jakie ma to konsekwencje dla naszej planety, zdrowia oraz życia społecznego. Sprawdź, co możesz zrobić!

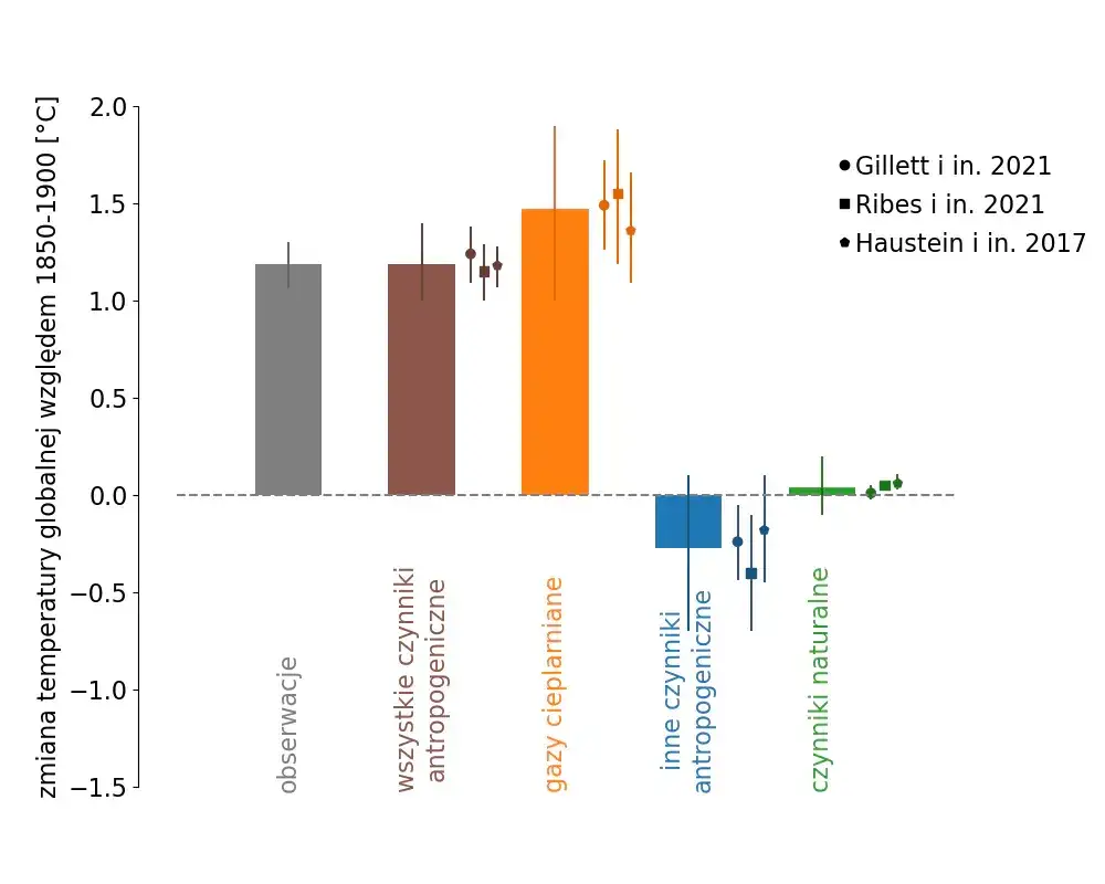
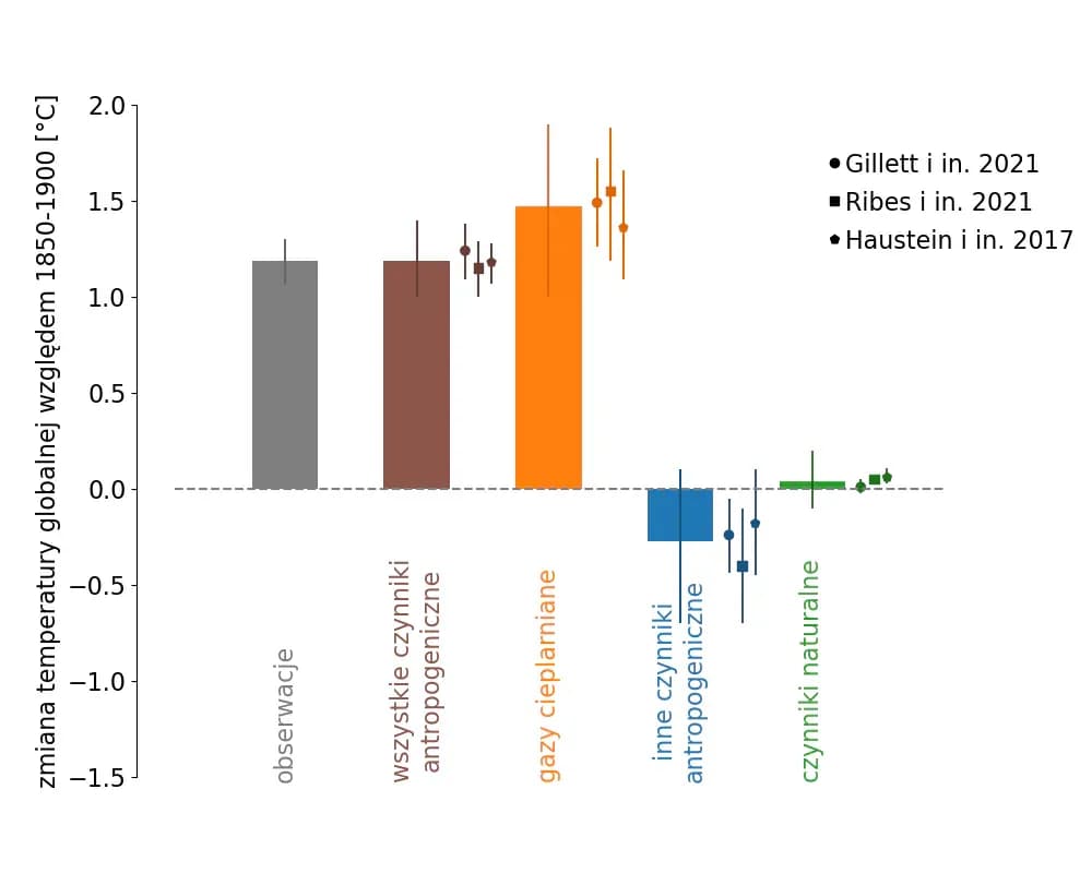
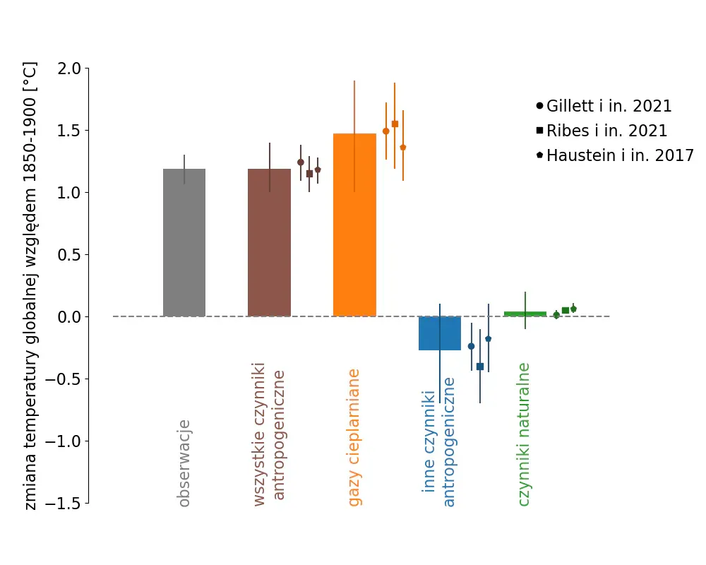
Poznaj, co ma największy zły wpływ na klimat oraz skuteczne sposoby na ograniczenie emisji gazów cieplarnianych i ochronę naszej planety.

Czy klimat górski występuje we wszystkich strefach klimatycznych? Sprawdź, gdzie znajdziesz ten unikalny klimat i jakie ma cechy w różnych regionach.

Poznaj kluczowe czynniki, które modyfikują klimat oraz ich wpływ na naszą planetę. Zrozum skutki zmian klimatycznych i ich konsekwencje dla przyszłości.

Poznaj, jaki Polska ma klimat i jakie są zaskakujące różnice regionalne. Dowiedz się, jak wpływają na pogodę i życie codzienne mieszkańców.

Poznaj, jaki jest klimat w Afryce i jak różnorodność stref klimatycznych wpływa na życie oraz ekosystemy mieszkańców tego kontynentu.

Dowiedz się, jak fundusz wspiera walkę z ubóstwem energetycznym w UE, przeznaczając co najmniej 25% na klimat UE oraz inwestując w odnawialne źródła energii.

Jak klimat tworzył historię? Poznaj wpływ zmian klimatycznych na rozwój cywilizacji i ich kluczowe wydarzenia w dziejach ludzkości.

Poznaj, jaki klimat dla chorych na serce jest najlepszy. Dowiedz się, jak łagodne warunki wpływają na zdrowie i samopoczucie pacjentów z chorobami serca.

Zmień swoje nawyki i dowiedz się, jak dbać o klimat. Proste kroki pomogą Ci zmniejszyć ślad węglowy i przyczynić się do ochrony naszej planety.

Zastanawiasz się, jaki jest klimat w Warszawie? Poznaj średnie temperatury, opady deszczu oraz sezonowe zmiany, które wpływają na miasto.

Poznaj, jaki klimat panuje w Kanadzie i zaskakujące różnice w temperaturach oraz porach roku. Sprawdź, jak wpływa to na życie mieszkańców!

Zastanawiasz się, co ile lat klimat się ogrzewa lub oziębia? Poznaj zaskakujące fakty o zmianach klimatycznych i ich wpływie na naszą przyszłość.

Poznaj, jaki jest klimat w Los Angeles. Dowiedz się o temperaturach, opadach i sezonowych zmianach, które wpływają na życie w tym słonecznym mieście.

Poznaj, jaki jest klimat w Japonii! Zaskakujące różnice sezonowe, od wiosennych kwiatów wiśni po zimowe opady śniegu, czekają na Ciebie.

Poznaj, co to jest klimat GFE i jakie emocje towarzyszą tej unikalnej interakcji. Dowiedz się, jak różni się od tradycyjnych usług towarzyskich.

Zastanawiasz się, co nadaje klimat w Balladynie? Poznaj symbolikę przyrody i jej wpływ na emocje bohaterów w tym niezwykłym utworze.

Dowiedz się, dlaczego klimat Polski jest przejściowy i jakie ma to znaczenie dla codziennego życia, aktywności oraz rolnictwa w naszym kraju.